Gallery
>
Stand Up Paddle
<< Previous
|
Next >>
Category:
State:
Location:
Caption:
Description:
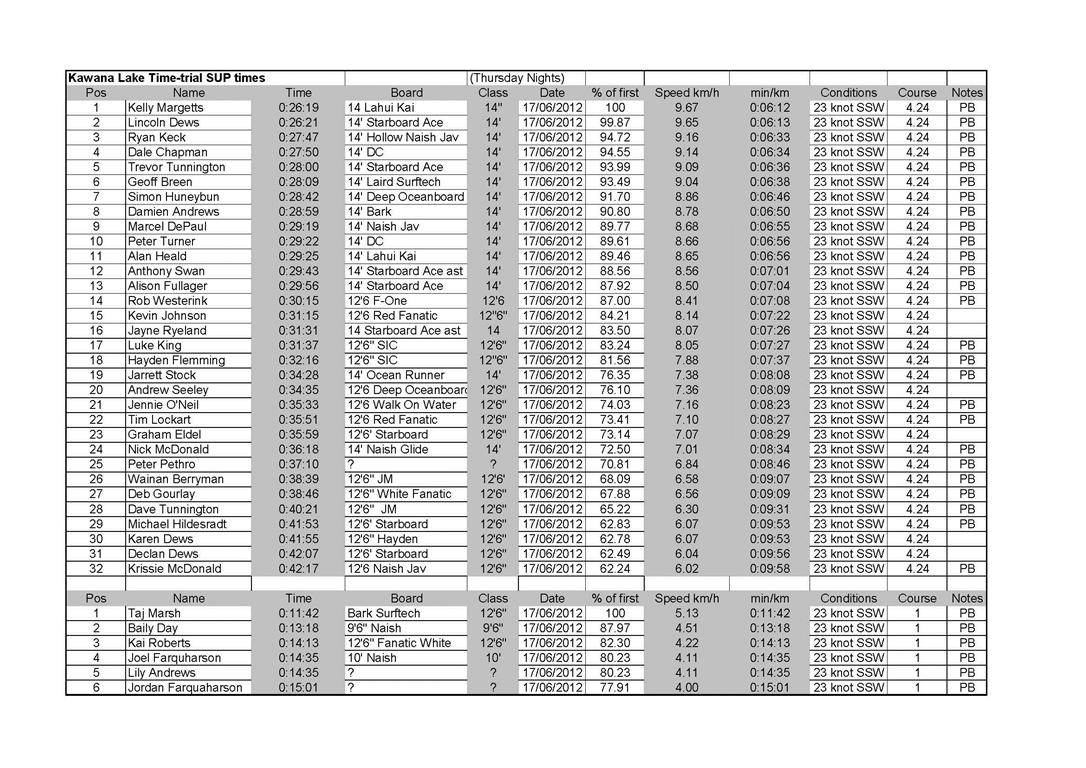
Kawana Lake Time Trials 17.6.2012 (Medium)
Discussed in these Forum posts:
Stand Up Paddle
>
Sunshine Coast Race Board Demo Day and Time Trials
WINDSURFnSNOW
WINDSURFnSNOW
WINDSURFnSNOW
WINDSURFnSNOW
Piros
wazza66
hilly
supoz
Secret Agent
patsy p
ALsUP
ALsUP
Search:
the gallery
stand up paddle
Swanie
Jun 2012
Sydney Weather
Melbourne Weather
Brisbane Weather
Perth Weather
Adelaide Weather
Darwin Weather
Hobart Weather
Kitesurfing
Windsurfing
Stand Up Paddle
Surfing
Boating
Sailing
Fishing
Contact Us (Support/Help)
Terms Of Use
Privacy Policy
iPhone App
Android App
About
Copyright © 1997-2026 Seabreeze.com.au - All Rights Reserved.